Filters
Question type

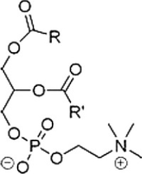
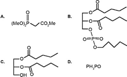
Which of the following is a phospholipid? Which of the following is a phospholipid?   A)  A B)  B C)  C D)  D


A) A
B) B
C) C
D) D

E) B) and D)
F) B) and C)

Correct Answer

verifed

verified

All except one of the statements below are true about the molecule given. Which statement is not correct? All except one of the statements below are true about the molecule given. Which statement is not correct?   A)  This molecule is a phospholipid and belongs to the general category of lecithins. B)  This molecule is a phospholipid and is generally found in fruits, vegetables, fish, liver, and dairy products. C)  This molecule contains two fatty acids and has at least one stereogenic center. D)  This molecule is a phospholipid that composes the main fabric of the insoluble barrier that protects the cell.


A) This molecule is a phospholipid and belongs to the general category of lecithins.
B) This molecule is a phospholipid and is generally found in fruits, vegetables, fish, liver, and dairy products.
C) This molecule contains two fatty acids and has at least one stereogenic center.
D) This molecule is a phospholipid that composes the main fabric of the insoluble barrier that protects the cell.

E) A) and D)
F) C) and D)

Correct Answer

verifed

verified

B

Evaluate the following statement: The terpene structure shown is a hydrolysable lipid. Evaluate the following statement: The terpene structure shown is a hydrolysable lipid.   A)  True, because it contains an alcohol functional group. B)  False, because there is too much steric repulsion from the alcohol and aldehyde moieties. C)  True, because there are three polar groups and only 12 total carbon atoms. D)  False, because alcohol and aldehyde moieties are not hydrolysable.


A) True, because it contains an alcohol functional group.
B) False, because there is too much steric repulsion from the alcohol and aldehyde moieties.
C) True, because there are three polar groups and only 12 total carbon atoms.
D) False, because alcohol and aldehyde moieties are not hydrolysable.

E) C) and D)
F) All of the above

Correct Answer

verifed

verified

D

The stereoselective introduction of the C15 OH group on the w side chain of prostaglandins has presented a challenge for synthetic chemists. Recently, Mulzer and co-workers demonstrated a new route in which the w side chain is synthesized independently and then attached to the bicyclic counterpart. What is the appropriate sequence of reagents for the following synthesis? The stereoselective introduction of the C15 OH group on the w side chain of prostaglandins has presented a challenge for synthetic chemists. Recently, Mulzer and co-workers demonstrated a new route in which the w side chain is synthesized independently and then attached to the bicyclic counterpart. What is the appropriate sequence of reagents for the following synthesis?   A)  (1)  PBr<sub>3</sub>; (2)  Grubbs' catalyst, Reagent X; (3)  KOC(CH<sub>3</sub>) <sub>3</sub> B)  (1)  TsCl, pyridine; (2)  Grubbs' catalyst, Reagent X; (3)  KOC(CH<sub>3</sub>) <sub>3</sub> C)  (1)  PBr<sub>3</sub>; (2)  Ph<sub>3</sub>P=CH<sub>2</sub>; (3)  Grubbs' catalyst, Reagent X D)  (1)  PCC; (2)  Ph<sub>3</sub>P=CH<sub>2</sub>; (3)  Grubbs' catalyst, Reagent X


A) (1) PBr3; (2) Grubbs' catalyst, Reagent X; (3) KOC(CH3) 3
B) (1) TsCl, pyridine; (2) Grubbs' catalyst, Reagent X; (3) KOC(CH3) 3
C) (1) PBr3; (2) Ph3P=CH2; (3) Grubbs' catalyst, Reagent X
D) (1) PCC; (2) Ph3P=CH2; (3) Grubbs' catalyst, Reagent X

E) None of the above
F) C) and D)

Correct Answer

verifed

verified

D

Which of the following is a fat soluble vitamin?


A) All of these choices are correct
B) Vitamin K
C) Vitamin A
D) Vitamin D3

E) All of the above
F) A) and B)

Correct Answer

verifed

verified

Norethindrone is a synthetic steroid that is better than progesterone in suppressing ovulation. What reagents (1-3) are required to convert norethindrone to the derivatives shown below? Norethindrone is a synthetic steroid that is better than progesterone in suppressing ovulation. What reagents (1-3)  are required to convert norethindrone to the derivatives shown below?   A)  (1)  H<sub>2</sub>, Pd-C; (2)  (CH<sub>3</sub>) <sub>2</sub>CHCH<sub>2</sub>NH<sub>2</sub>, NaBH<sub>3</sub>CN; (3)  a. O<sub>3</sub>, b. Zn, DMS B)  (1)  a. LiAlH<sub>4</sub>, b. H<sub>2</sub>O; (2)  (CH<sub>3</sub>) <sub>2</sub>CHCH<sub>2</sub>NH<sub>2</sub>, mild acid; (3)  a. OsO<sub>4</sub>, b. NaHSO<sub>3</sub> C)  (1)  a. LiAlH<sub>4</sub>, b. H<sub>2</sub>O; (2)  (CH<sub>3</sub>) <sub>2</sub>CHCH<sub>2</sub>NH<sub>2</sub>, NaBH<sub>3</sub>CN; (3)  a. OsO<sub>4</sub>, b. NaHSO<sub>3</sub> D)  (1)  H<sub>2</sub>, Pd-C; (2)  (CH<sub>3</sub>) <sub>2</sub>CHCH<sub>2</sub>NH<sub>2</sub>, mild acid; (3)  a. O<sub>3</sub>, b. Zn, DMS


A) (1) H2, Pd-C; (2) (CH3) 2CHCH2NH2, NaBH3CN; (3) a. O3, b. Zn, DMS
B) (1) a. LiAlH4, b. H2O; (2) (CH3) 2CHCH2NH2, mild acid; (3) a. OsO4, b. NaHSO3
C) (1) a. LiAlH4, b. H2O; (2) (CH3) 2CHCH2NH2, NaBH3CN; (3) a. OsO4, b. NaHSO3
D) (1) H2, Pd-C; (2) (CH3) 2CHCH2NH2, mild acid; (3) a. O3, b. Zn, DMS

E) All of the above
F) C) and D)

Correct Answer

verifed

verified

Eicosanoids are derived from what compound?


A) Cyclohexane
B) Triacylglycerols
C) Arachidonic acid
D) Cholesterol

E) C) and D)
F) All of the above

Correct Answer

verifed

verified

Showing 1 - 7 of 7

Related Exams

Show Answer