Filters
Question type

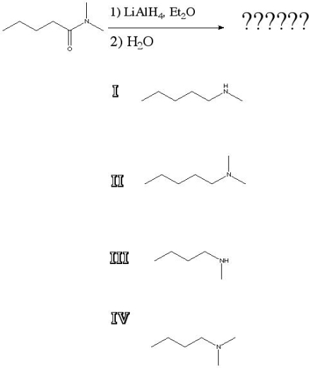
What is the product of the following reaction? What is the product of the following reaction?   A)  I B)  II C)  III D)  IV


A) I
B) II
C) III
D) IV

E) None of the above
F) A) and B)

Correct Answer

verifed

verified

C

What is the product of the following reaction? What is the product of the following reaction?   A)  I B)  II C)  III D)  IV


A) I
B) II
C) III
D) IV

E) A) and B)
F) None of the above

Correct Answer

verifed

verified

D

What is the structure of N,N-diethylpentanamine? What is the structure of N,N-diethylpentanamine?   A)  I B)  II C)  III D)  IV


A) I
B) II
C) III
D) IV

E) All of the above
F) B) and D)

Correct Answer

verifed

verified

What is the product of the following reaction? What is the product of the following reaction?   A)  I B)  II C)  III D)  IV


A) I
B) II
C) III
D) IV

E) All of the above
F) A) and C)

Correct Answer

verifed

verified

What is the product of the following reaction? What is the product of the following reaction?   A)  I B)  II C)  III D)  IV


A) I
B) II
C) III
D) IV

E) A) and B)
F) A) and C)

Correct Answer

verifed

verified

What is the product of the following reaction? What is the product of the following reaction?   A)  I B)  II C)  III D)  IV


A) I
B) II
C) III
D) IV

E) A) and C)
F) B) and C)

Correct Answer

verifed

verified

Why does pyrrole have a lower pKa (weaker base) than pyridine or pyrimidine? Why does pyrrole have a lower pKa (weaker base)  than pyridine or pyrimidine?   A)  Because pyrrole is smaller and more compact and this prevents its lone pair from reacting as much. B)  Because pyrrole has less carbons and therefore the lone pair is more active. C)  Because pyrrole's lone pair participates in the delocalized electron cloud, while pyridine's and pyrimidine's lone pairs do not. D)  Because pyrimidine has more lone pairs than pyrrole does.


A) Because pyrrole is smaller and more compact and this prevents its lone pair from reacting as much.
B) Because pyrrole has less carbons and therefore the lone pair is more active.
C) Because pyrrole's lone pair participates in the delocalized electron cloud, while pyridine's and pyrimidine's lone pairs do not.
D) Because pyrimidine has more lone pairs than pyrrole does.

E) A) and D)
F) All of the above

Correct Answer

verifed

verified

C

What is the product of the following reaction? What is the product of the following reaction?   A)  I B)  II C)  III D)  IV


A) I
B) II
C) III
D) IV

E) A) and D)
F) A) and C)

Correct Answer

verifed

verified

What is the product of the following reaction? What is the product of the following reaction?   A)  I B)  II C)  III D)  IV


A) I
B) II
C) III
D) IV

E) C) and D)
F) A) and C)

Correct Answer

verifed

verified

What is the product of the following reaction? What is the product of the following reaction?   A)  I B)  II C)  III D)  IV


A) I
B) II
C) III
D) IV

E) A) and B)
F) C) and D)

Correct Answer

verifed

verified

Showing 1 - 10 of 10

Related Exams

Show Answer